コンセプトマップ -知識を明確に視覚化する

コンセプトマップとは、アイデアのつながりを示す図です。概念を矢印と短いフレーズで結びつけることで、概念の関係性を示すマップを作成し、複雑な知識を理解しやすく、記憶しやすく、共有しやすくします。

??hero.image.alt_en??

コンセプトマップが重要な理由

コンセプトマップは単なる絵ではなく、思考方法の一つです。コンセプトマップは次のようなことに役立ちます。

??why_matters.item1.image.alt_en??

複雑さを簡素化

アイデアを明確な構造に整理します。

??why_matters.item2.image.alt_en??

メモリをブースト

つながりによって情報が定着します。

??why_matters.item3.image.alt_en??

スポットインサイト

リニアノートで見逃す可能性のあるリンクを明らかにします。

??why_matters.item4.image.alt_en??

明確に伝える

知識を瞬時に視覚的に共有します。

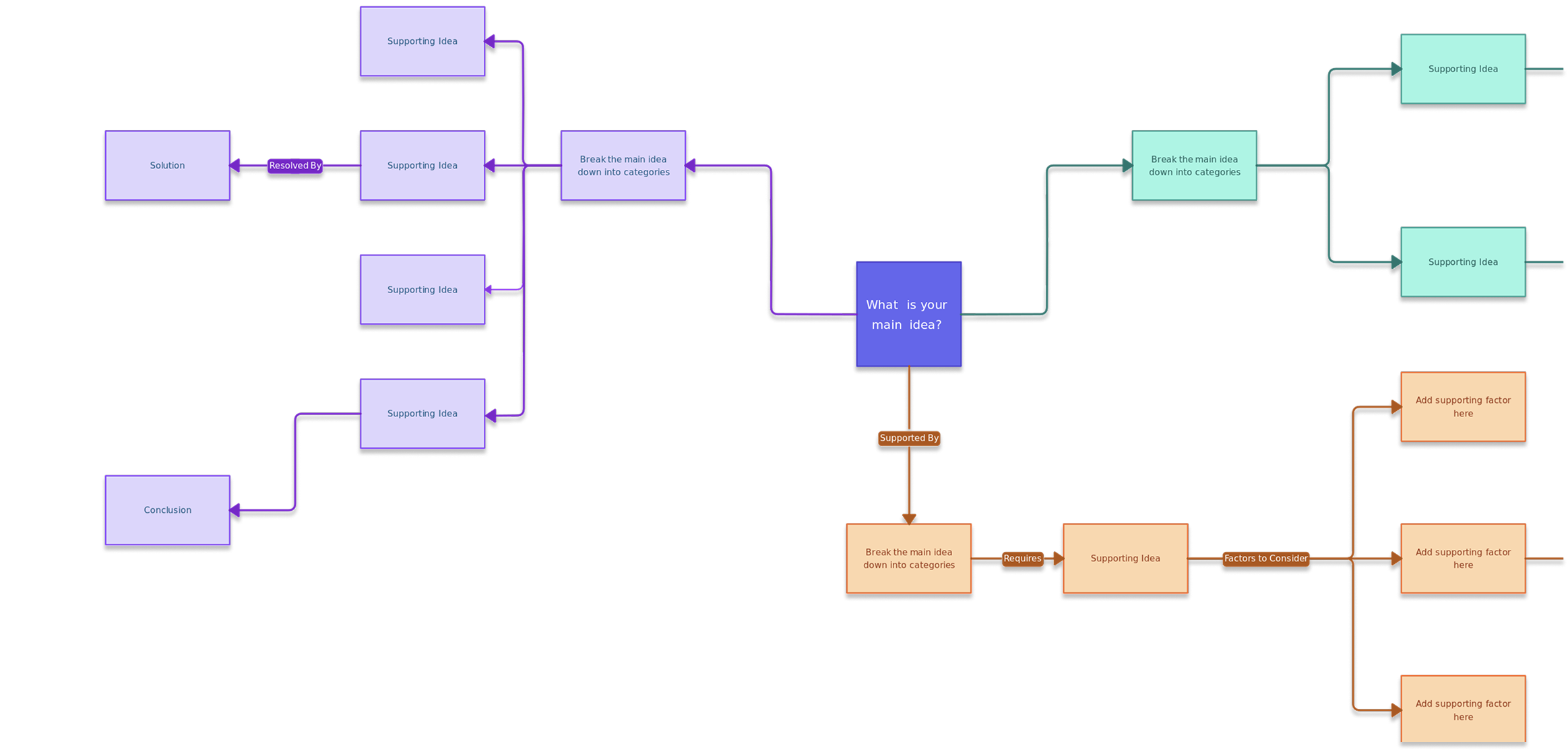
コンセプトマップとは何ですか?

コンセプトマップとは、アイデアをノード(通常は円やボックスで表現)に整理し、それらを短いリンクフレーズでラベル付けされた矢印で結ぶ構造化された図です。これらのラベルは概念間の関係性を明確にし、孤立した情報を繋がりのある知識ネットワークへと変換します。

このように情報を提示することで、コンセプトマップは単なる用語の羅列や要点の概略にとどまりません。関係性を明確にし、あるアイデアが別のアイデアにどのようにつながり、依存し、影響を与えているかを示します。コンテンツとコンテキストの両方を表示できるこの能力こそが、コンセプトマップを問題解決のための強力なツールにしているのです。

??what_is.image.alt_en??

オンラインでコンセプトマップを作成する方法

オンラインでも紙でもコンセプトマップを作成するのは簡単です。

1

中心となる焦点から始める

探求したい主な質問またはトピックを定義します。

2

重要なアイデアを特定する

最も重要な概念とそれをサポートする詳細を収集します。

3

広い範囲から具体的な範囲まで整理する

一般的な概念を一番上に置き、関連する詳細をその下に配置します。

4

接続詞で概念を繋ぐ

矢印と短い単語またはフレーズを使用して関係を説明します。

5

クロス接続を強調表示

さまざまなブランチまたはセクションが相互にどのように関連しているかを示します。

コンセプトマップとマインドマップ

コンセプト マップとマインド マップはどちらも視覚的なツールですが、それぞれ異なるニーズに応えます。

??comparison.concept_map.image.alt_en??

コンセプトマップ

??comparison.concept_map.image.alt_en??

階層的かつ構造化されており、ラベル付きのリンクが付いています。知識の学習と説明に最適です。

??comparison.mind_map.image.alt_en??

マインドマップ

??comparison.mind_map.image.alt_en??

中心となるアイデアから枝分かれし、外側に放射状に広がります。ブレインストーミングやプランニングに最適です。

創造性と自由なアイデアの流れが目標であれば、マインドマップの方が効果的です。

コンセプトマップの応用

??applications.item1.image.alt_en??

教育

レッスンを説明し、研究を要約します。

??applications.item2.image.alt_en??

仕事

プロジェクトの依存関係、ワークフローをマップします。

??applications.item3.image.alt_en??

健康管理

患者データ、ケアプランを整理します。

??applications.item4.image.alt_en??

科学

理論、実験、結果を結び付けます。

??applications.item5.image.alt_en??

看護

診断、介入、および結果を構造化します。

よくある質問

コンセプトマップからマインドマップへ

コンセプトマップは知識を分かりやすく説明し、マインドマップはアイデアを刺激します。両方を活用して、より効果的に学び、創造し、共有しましょう。