Concept Map - Visualize Knowledge Clearly

A concept map is a diagram that shows how ideas connect. By linking concepts with arrows and short phrases, you create a map of concept relationships that makes complex knowledge easier to understand, remember, and share.

??hero.image.alt_en_US??

Why Concept Maps Matter

Concept maps are more than drawings, they're a way of thinking. Concept mapping helps you:

??why_matters.item1.image.alt_en_US??

Simplify Complexity

Organize ideas into a clear structure.

??why_matters.item2.image.alt_en_US??

Boost Memory

Connections make information stick.

??why_matters.item3.image.alt_en_US??

Spot Insights

Reveal links you might miss in linear notes.

??why_matters.item4.image.alt_en_US??

Communicate Clearly

Share knowledge in an instantly visual way.

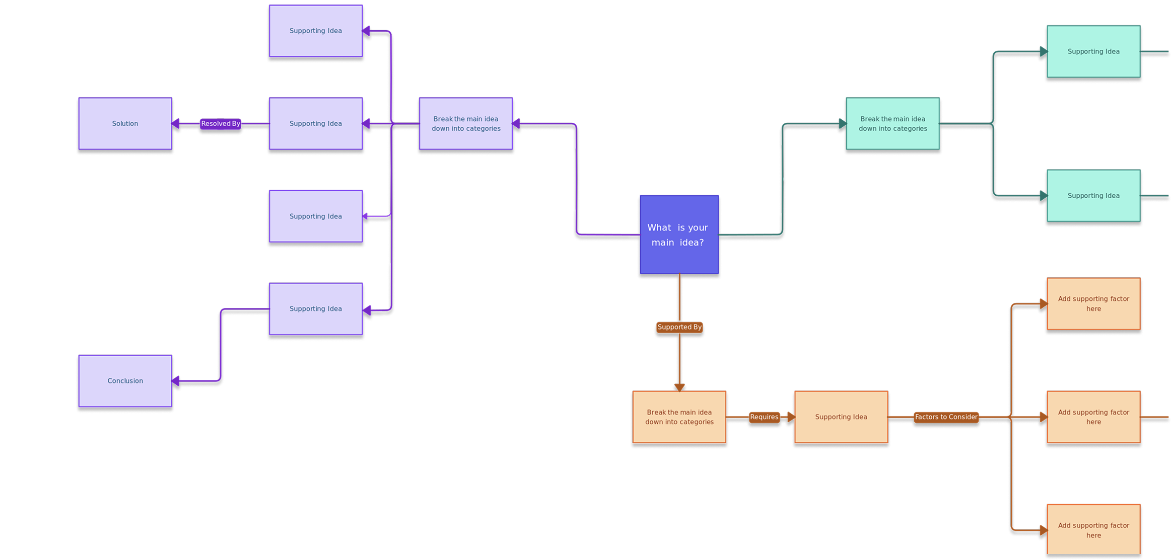
What Is a Concept Map?

A concept map is a structured diagram that organizes ideas into nodes, usually represented as circles or boxes, and connects them with arrows labeled by short linking phrases. These labels clarify the nature of the relationships between concepts, transforming isolated pieces of information into a connected network of knowledge.

By presenting information this way, a concept map goes beyond simply listing terms or outlining points. It makes the relationships explicit, showing how one idea leads to, depends on, or influences another. This ability to display both content and context is what makes a map of concepts such a powerful tool for problem-solving.

??what_is.image.alt_en_US??

How to Create a Concept Map Online

Creating a concept map online or on paper is simple:

1

Start With a Central Focus

Define the main question or topic you want to explore.

2

Identify the Key Ideas

Gather the most important concepts and supporting details.

3

Organize From Broad to Specific

Place general concepts at the top and arrange related details beneath them.

4

Connect Concepts With Linking Phrases

Use arrows and short words or phrases to explain relationships.

5

Highlight Cross-Connections

Show how different branches or sections relate to one another.

Concept Map vs. Mind Map

Both concept maps and mind maps are visual tools, but they serve different needs:

??comparison.concept_map.image.alt_en_US??

Concept Map

??comparison.concept_map.image.alt_en_US??

Hierarchical, structured, with labeled links. Best for learning and explaining knowledge.

??comparison.mind_map.image.alt_en_US??

Mind Map

??comparison.mind_map.image.alt_en_US??

Central idea with branches radiating outward. Best for brainstorming and planning.

If your goal is creativity and free-flow ideas, a mind map works better.

Applications of Concept Map

??applications.item1.image.alt_en_US??

Education

Explain lessons, summarize research.

??applications.item2.image.alt_en_US??

Business

Map project dependencies, workflows.

??applications.item3.image.alt_en_US??

Healthcare

Organize patient data, care plans.

??applications.item4.image.alt_en_US??

Science

Connect theories, experiments, and results.

??applications.item5.image.alt_en_US??

Nursing

Structure diagnoses, interventions, and outcomes.

Frequently Asked Questions

From Concept Maps to Mind Maps

Concept maps explain knowledge. Mind maps spark ideas. Use both to learn, create, and share more effectively.